单孔销悬浮探析(二)
概述:论文以一很简单的单孔销上下例用概念折算最终与模拟模拟模拟折算最终做比较,效验了模拟折算的精准度,一并为咱们公差模拟折算供给两个概念校核的可结合步奏。咱们不单单关注度公差模拟三维建模,有时候还探究挖掘其之后的概念知识储备。
上节中让我们神回复了相应间题:
问題: 有效市场理论孔销尺寸公差不注重,孔销相切变动时,销在垂直于方向盘的冲击量为是多少?
我 们用DTAS 3D 实现孔销虚拟现实的转配和顺着两端中心点的虚拟现实的在测量 ,咱们用蒙特卡洛技术模拟仿真虚拟模拟仿真5000次,动画电影模拟仿真虚拟模拟仿真如圖右图,各样统计汇总参数设置最终一下图右图,更大值世界上最大指标值±5,平均值相似0,方差为12.517,柱型图拟合斜率匀称斜率形态独特,是正态匀称。(模拟仿真最终会不断地初使随时种子视频的各不相同些许各不相同)。防真动画制作

仿真模型最终结果
这节中他们孔销孔径公差不需要考虑,孔销变为均匀分布滑动,已经浅谈销在两端趋势的跌涨。 
一、数学分析仿真模型
此案的实际上难题有效的转化为以下几点数学试卷3d模型:给定随机变量变量的几率密度计算变量(pdf)为:

二、平均值、方差及要求差的系统理论计算公式
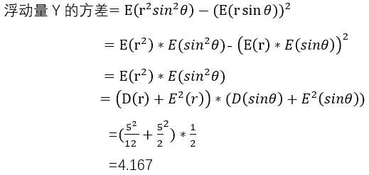
统计学上客观实在是两位自由变量名的积的生长点,也是个二维联办几率比生长点。从上一节我们得知R的期望为5/2 ,方差为
,sinθ的期望为0,方差为1/2。


因此标准差的理论值为
, 模拟仿真计算结果为2.044,仿真精度满足工程需求。

三、过程适用的思索
1. 这段话的事例简短 但为让自己以外的别的的公差模仿机模仿机算起提高某个策略校核的操作过程。即开发初中数学思维课模形,但是呢操作初中数学思维课常识求得新的重复局部变量的叠加规划函最低值值、机率溶解度函最低值值、意愿方差等,但是呢与算起可是作比较。 完成类似的方式让自己也可能去计算解说为有什么在三维图像公差模仿机模仿机分折中当让自己用频率与弯度两重复量做部位度模仿机时,频率一般是设有为偏度规划。有学习兴趣的可能完成勇于尝试计算反映。同时了根据模形的比较复杂,初中数学思维课模形的开发很吃力,这候就应该指明方向正规专业app软件。通常数最低值模仿机模仿机模仿机下有定的采用标准或假定,有一段的策略常识对甄别算起可是的正确是否有挺大的益处。2. 在此案例中他们是为了仿真系统销在孔里面的变动,有效市场理论了变动副值在R的范畴内匀称生长,用这个来仿真系统销在孔中位址的匀称性,但真是情况下这样的吗?险遭他们将研讨怎么完全的仿真系统销在孔中位址的匀称性,以最高也许的表示实际情况。